본 포스트는 Khan Academy, 인공지능을 위한 선형대수를 기본으로 만들어졌습니다. 저또한 배우는 입장에서 공부하며 쓴 글이기 때문에 댓글 달아주시고 서로 이해하도록 하면 좋겠습니다.

§스칼라, 벡터, 매트릭스 의 이해
스칼라(Scalar)는 하나의 숫자를 의미하며 소문자로 표기합니다.
e.g. 1,2,3,4,7,...
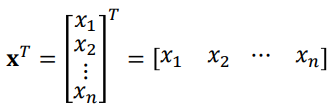
벡터(Vector)는 순서가 있는 array(배열)을 의미하며 소문자 볼드체로 표기합니다. 순서가 정해져 있지 않은 array를 Set이라 합니다.
e.g.

벡터는 row vector (nx1) = a horizontal vector과 column vector (1xn)= a vertical vector 가 있습니다. 기본적으로 vector 을 나타낼 때는 column vector을 의미합니다.
row vector은 기본적으로 column vector을 정의하고 transpose한 array을 의미합니다.

매트릭스(Matrix)는 가로(row)와 세로(column) 두개의 축을 가지는 2차원 행렬을 의미합니다. 대문자로 표기합니다.
매트릭스의 사이즈는 row의 개수 x column의 개수로 나타냅니다.
e.g.

특정 행이나 열에 해당하는 구성요소를 표현하기 위해서는 다음과 같이 표기합니다.
Aij는 행렬A의 (i,j) 번째 구성요소를 나타냅니다.
e.g. A2,1=3
Ai,: 는행렬A의 row vector가 i 인 구성요소를 나타냅니다.
e.g.
A:,j 는 행렬A의 column vector가 j인 구성요소를 나타냅니다.
e.g.
§Square matrix (정사각행렬)
행렬 A의 가로와 세로의 크기가 같은 행렬
e.g. 2x2, 3x3, 7x7,...

§Rectangular matrix (직사각행렬)
행렬 A의 가로와 세로의 크기가 같지 않은 행렬
e.g. 2x3, 3x4, 5x2,...

§Transpose of matrix (전치행렬)
주 대각선을 축으로 하는 반사 대칭을 가하여 얻은 행렬로 쉽게 말해 행과 열을 교환하여 얻은 행렬을 의미합니다.
기본 행렬 A에 대하여 전치행렬은 AT 와 같이 표기합니다.
e.g.

§벡터와 행렬의 연산 (덧셈, 곱셈)
덧셈
C=A+B는 행렬의 요소끼리의 합과 같습니다. Cij=Aij+Bij
단, 행렬의 요소별 합이기 때문에 매트릭스의 사이즈는 동일해야 합니다.
곱셈
ca, cA 상수 배는 각 성분에 해당 상수를 곱한 것으로 정의합니다.
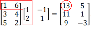
C=AB 매트릭스x매트릭스의 곱을 하기 위해서는 기본적으로 사이즈를 고려해야 하는데 첫번째 행렬에서의 column의 개수와 두번째 행렬에서의 row의 개수가 같아야 한다.
첫번째 행렬이 mxn 이고 두번째 행렬이 nxr 인경우의 곱은 mxr 크기의 행렬이 됩니다.
e.g.

즉, 행렬의 곱이란 앞 행렬 행 벡터와 뒤 행렬의 열 벡터의 내적값을 스칼라로 가지는 새로운 행렬을 얻는 과정을 의미합니다.
ㄱ자 모양을 연산하면 행렬의 곱 이해가 쉬울 것 입니다.

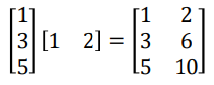
행렬의 외적(outer product)을 통해서 벡터값을 얻어낼 수 있고
e.g. (3x1)x(1x2)=(3x2)

행렬의 내적 (inner product)을 통해서 스칼라 값을 얻을 수 있습니다.
e.g. (1x3)x(3x1)=1

§행렬의 곱셈 법칙
행렬의 곱은 순서가 중요하기 때문에 교환법칙은 성립하지 않습니다.

e.g. 행렬의 사이즈는 같아질 수 있으나 각 속성의 값은 일치하지 않습니다.

그외 행렬의 곱은 분배법칙,

결합법칙,

전치성질 을 가지고 있습니다.

역행렬에 대해서도 다음과 같은 성질을 가집니다.
(AB)-1 = B-1A-1
역행렬에 관해서는 다음 포스팅에서 설명하도록 하겠습니다.
'취준일기' 카테고리의 다른 글
| 아톰(atom) 설치하고 파이썬 개발환경 구축하기 (0) | 2020.03.29 |
|---|---|
| 윈도우에 파이썬 설치 하기 (python download) (0) | 2020.03.29 |
| [통계학] 하버드 Statistics 110 Probability and Counting (with edwith ) (2) | 2020.03.10 |
| Heidisql 설치하고 데이터베이스 (DB) 접속 (0) | 2020.03.05 |
| 윈도우10 에서 마리아DB MariaDB 설치하기 (0) | 2020.03.04 |